Exponential Parsimony to Generate Herd Immunity Against SARS- CoV2 Cybernetically Restricting Doxastic and Desiderative Logics
Abstract
We Hypothesize that It should be intuitively inferred that the behavior of the pandemics corresponds to the prediction of the Maxwell Boltzmann distribution, which is a direct function of population density. In a higher organizational metalevel, it is analogous to the Brownian movement effect, in which the possibility of being observed is determined by the observational power of the instrument. In this case, it corresponds to the sensibility and sensitivity of the probe as well as the prevalence of the arbitrary states. The states are formally considered as a partition in probability theory; both in the Kolmogorov and frequentist approach. All these become subsumed to the Bayes theorem applied to recursive conditional probability.
Author Contributions
Academic Editor: Amin Ataie, Babol university of Medical science, department of Pharmacology and toxicology, Iran.
Checked for plagiarism: Yes
Review by: Single-blind
Copyright © 2021 Mara Lamothe, et al.
This is an open-access article distributed under the terms of the Creative Commons Attribution License, which permits unrestricted use, distribution, and reproduction in any medium, provided the original author and source are credited.
Competing interests
The authors have declared that no competing interests exist.
Citation:
Introduction
We Hypothesize that It should be intuitively inferred that the behavior of the pandemics corresponds to the prediction of the Maxwell Boltzmann distribution, which is a direct function of population density. In a higher organizational metalevel, it is analogous to the Brownian movement effect, in which the possibility of being observed is determined by the observational power of the instrument. In this case, it corresponds to the sensibility and sensitivity of the probe as well as the prevalence of the arbitrary states. The states are formally considered as a partition in probability theory; both in the Kolmogorov and frequentist approach. All these become subsumed to the Bayes theorem applied to recursive conditional probability.
The ribonucleoside analog β-D-N4 -hydroxycytidine (NHC) (molnupiravir or MK-4482) and the global vaccine application might end the pandemic of SARS-CoV 2; notwithstanding, the apodictic inference from fallacies, in a doxastic and desiderative logic, is the origin of disinformation. Herd immunity could be reached by keeping the inoculum to the minimum minimorum, which would allow a parsimonical response in the viral exponential growth that would not overwhelm the exponential immune response. It is expected that susceptible subjects could be infected in a variolation modality through the universal use of masks, maximizing the distance, rather than in a nonregulated exposure of a putative low-risk segment of the population. The recognition that pandemic is a behavioral problem that should be addressed through cybernetics and behavioral engineering, and also the awareness that bizarre exposure to exotic animals is the origin of most pandemics.
The apodictic inference from fallacies, in a doxastic and desiderative logic, is the origin of disinformation. Herd immunity could be reached by keeping the inoculum to the minimum minimorum, which would allow a parsimonical response in the viral exponential growth that would not overwhelm the exponential immune response. It is expected that susceptible subjects could be infected in a variolation modality through the universal use of masks, maximizing the distance, rather than in a nonregulated exposure of a putative low-risk segment of the population. The recognition that pandemic is a behavioral problem that should be addressed through cybernetics and behavioral engineering, and also the awareness that bizarre exposure to exotic animals is the origin of most pandemics.
The ribonucleoside analog β-D-N4 -hydroxycytidine (NHC)1 and the universal applications of the vaccines might terminate with the SARS-CoV-2 pandemic. However, while this moment is reached, transmission and death continue. The objective of the present article is to demonstrate how to immediately minimize the contagions and death through practices biophysical, virological, immunological, and cybernetically grounded; all aiming at reducing the inoculum of the transmission to the minimum minimorum.
Researches act based on science and legal grounds; not doxastic nor desiderative logic. It is demonstrable that the SARS-CoV2 global disaster has its roots in human behavior, in the transmission of the virus, inefficient distribution, disinformation, exposition to exotic pets, and exotic food and aberrant behavior 2.
Conduct problems are approached through cybernetics by behavioral engineering2. As in the cases of alcohol abuse, tobacco, drugs, gun crimes, wars, sexually transmitted diseases; The primary causes are not tobacco, alcohol, drugs, and HIV, but aberrant behavior due to the liberation of dopamine in the nucleus accumbens.4,5.
Everybody requires from their governments; however, they are tolerant with their own misconduct which spread the SARS-CoV-2 5,6.
Epidemiological Disquisitions
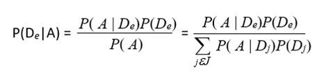
The question is not what is the probability that a person infected with COVID-19 will have a specific set of symptoms and signs. Based on Bayes' theorem, it's about calculating the likelihood that a patient with a specific sign or symptom has acquired COVID-19 7,8.
Delta (Δ) is a probability space, where we can define a sigma-algebra of events, with a probability measure. Delta would be composed of all the events of A, that is, it is a partition of the sample space that is formed by all the people with symptoms, and “De =” is an event that is intersecting the events of delta, therefore we can calculate conditional probabilities and apply Bayes' theorem9.
If Δ={De: e J} is any class of mutually exclusive countable events,
De = Disease
A = Abnormal result in the test
Dj = No disease
P() = Bayesian Probability Function
If A is any abnormal test result with positive such that
then:
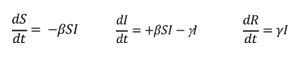
Everybody genuinely interested in the pandemic should comprehend The deterministic differential equations of the epidemiological model by Kermack and McKendrick8. Without understanding them it is impossible to conceive what the pandemic is:
The sum of the three compartmental differential equations is equal to zero:
This is the mathematical model of the rate of the pandemic. It is grounded on the susceptibility of subjects to be infected, the rate at which infections appear, and the rate of infection. The class resistance includes recovered as well those who die. This the SIR model, of W. O. Kermack and A. G. McKendrick10.
It is a sigma-algebra of events, with a probability measure, therefore it is a probability space where conditional probabilities can be calculated, in particular applying Bayes' theorem7.
The basic reproduction number R0 constitutes the number of cases expected to occur, on average, in a homogeneous population, as a result of the infection originated by a single contagious individual, when the entire population is susceptible at the start of an epidemic even before immunity begins to develop and before any approach at immunization has been made. When a single patient contagious two others, then the R0 is 210.
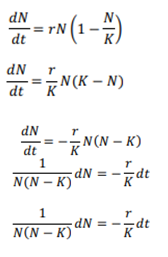
When the average R0 in the population is greater than 1, the infection will spread according to the logistic function, which initially grows exponentially. The model is described as generated by the following differential equation:
Where
N = Population
K = number of inhabitants that can be supported by the environment
r = population growth
Integrating the two sides of the equation and solving for N
Cybernetic and Behavioral Engineering
Science is able to investigate everything, which is absolutely different from believing that they exist.
The acquisition of herd immunity with the minimum mortality has been reached through vaccination. A doxastic and desiderative logic to obtain herd immunity is fallaciously tragic.
Viral vaccines are classified into attenuated live viruses, killed viruses, and viral fragments. although there are forms to acquire immunity. These are the result of natural selection. There could be an anagnoristic exception, which is Variolation11.
As with the Kermack and McKendrick differential equations, the probabilistic and Bayesian calculations must be mathematically rigorous, as well as the biophysical, microbiological, and immunological aspects.
Biophysical Disquisitions
Biophysics model the viral behavior in every aspect especially its interaction with the cell receptor12.
Disquisitions about optimization in Non-Polynomials Problems
Our direct proposed is to exposed to the wild unmodified SARS-CoV-2 with the aim to generate immunity by the simple mechanism of diminishing the amount of the inoculum to the minimumminimorum.
Here we give theoretical evidence that there is sound scientific knowledge available to control the pandemic, which is fundamentally a behavioral problem approachable by cybernetics through behavioral engineering3,13.
Desiderative Logic in Aspirational Legislation
The most significant case is integrated by the definition of Health in the World Health Organization, form there the declaration of Human rights followed by constitutional Laws in almost every control, incurring in doxastic and desiderative logic fallacies.
There is every expectation to produce the SARS-CoV-2 vaccine; however a conflict appears: Given the limited availability of vaccines, we need to decide the assignation policy. Once we are here, the decision will be a violation of human rights. We will not have enough vaccines for all; certainly, not at the beginning. So who will get the best vaccine? other decisions to be faced are: The queue rule first in time then first in right?; Should we assign by age?; Maybe committing the ad Lazarus fallacy: to those who need the most; Perhaps assigning it to the most necessary persons for the society; free market, the occult hand of Adam Smith?, to the those who pay more; aleatorily?; by mean of a Plebiscite?; First the oldest?; First the workforce?; First the most exposed?; First, those to which the majority is most exposed.
Disquisitions Relative to the Inoculum in the Vaccines
One of us (Hernandez-Garcia), has evaluated the effect of preexisting immunity on the expression, distribution, kinetics, and toxicity of adenoviral vectors after intratumoral delivery14,15.
The need for this evaluation arose because the levels of anti-adenoviral immunity may vary widely in human populations studied; however, few studies were evaluating the concurrent effects on toxicity and efficacy as a consequence of such preexisting immunity. Anti- adenoviral immunity has frequently been present in study populations due to prior exposure to AdVs is quite common in humans and the response varies greatly depending on the etiology of the infection and the timing relative to study entry. Furthermore, because experimental data had consistently demonstrated that multiple courses of AdV-mediated gene transfer may be more effective than an isolated course, this process is being implemented in clinical studies. Therefore, comprehending the potential consequences of previous existing immunity could have a significant impact on the study design and, consequently on the outcome. The aspects of expression, distribution, and kinetics were studied by means of the luciferase activity in tumor and peripheral organs as being a function of vector inoculum and the time postinjection. Antibody titers were not significantly affected by the amount of the inoculum of the vector used for immunization. Notwithstanding, increasing intratumoral vector inoculum in naïve animals led to disproportionately augmented levels of peripheral organ expression while only moderate increases in intratumoral expression. This might suggest an increased leakage from the injection site, probably as a consequence of local receptor saturation effect. In contrast, in preimmunized animals with high levels of circulating anti-adenovirus antibodies, increased vector inoculum showed similar intratumor increases but low peripheral organ expression and no increase in liver expression, apparently due to an inhibition of peripheral organ transduction by circulating antibodies. Due to the decrease in expression was much more accentuated in peripheral organs than in the tumor, we and others have hypothesized that the decrease in the tumor transduction efficiency may be overcome by increasing the vector inoculum. These results showed that increasing the intralesional inoculum by 10- to 100-fold in preimmunized animals restored the level of intratumor expression without increasing the level of liver gene expression. as an apparent immuno-protection. It has been shown a significant decrease in tumor expression as well as a greater than 1000- fold decrease in liver activity after intranasal immunization and intratumoral injection14,15.
Apparently, if organ toxicity was observed in the course of an adenoviral trial it might be beneficial to preimmunize the patients, and that it could be possible to boost expression in adenovirus-immune individuals by boosting the vector inoculum. This supports the hypothesis that an increased inoculum might lead to increased local expression; notwithstanding, the expected protection by preimmunization was true only at the level of gene expression, opposite to what was observed in the organ toxicity. The increased acute toxicity observed in the immunized animals after high doses of AdV-luc was unexpected. We had hypothesized that humoral immunity may have a protective effect since preclinical studies have demonstrated that anti-AdV antibodies preclude gene transfer to the liver and other peripheral organs. Histologic and biochemical evidence of moderate to severe hepatitis was observed in the surviving preimmunized animals but not the naïve animals. The absence of hepatotoxicity in the naïve animals might indicate that the toxicity was not a direct consequence of adenoviral gene transduction but, rather, a combination of high adenoviral inoculum and the anti-adenovirus immune response14,15.
The rapid development of symptoms may suggest an innate or humoral immune response rather than cellular or viral-mediated toxicity. The immune complex disease could be a possible explanation. The etiology might be from the deposition of adenoviruses complexed to antibodies or from those adsorbed to platelets, both of which could induce inflammatory reactions by activating the complement system. Such immune complexes have been shown to cause hepatotoxicity in a rat model, and complement activation has been demonstrated from human plasma after challenge with adenoviral vectors. Furthermore, the initial complement activation and the consequent vascular bed disturbance might lead to a mobilization of tissue factors and consequently a systemic inflammatory response that could result in respiratory distress, multiple organ failure, and eventually death. In a lesser event, viral-mediated immune complex deposition on platelets can cause thrombocytopenia. These symptoms, which can result from the complement activation, have been observed in human subjects that received adenovirus-mediated gene transfer. notwithstanding, it is clear that some other factors also influence adeno-vector toxicity. Thus, immunosuppression may be useful to avoid some of the vector toxicity when high systemic vector loads are anticipated. Many investigators are attempting this strategy in animals and humans to enhance the duration of gene expression14,15.
It has been shown that the duration of gene expression was significantly reduced in immunized animals, even with increased vector inoculum. The presence of immunity against adenoviruses before intratumoral AdV vector delivery preferentially decreased transgene hepatic expression and could be protective at moderate vector inoculum but can result in severe hepatic toxicity at high systemic inoculum. The reason for the toxicity should be further investigated as they may have severe implications for systemic AdV-mediated gene therapy14,15.
The toxicity is probably to be meaningful only at high inoculum, like those used in this study. It is not clear how the critical amount of inoculum could be predicted for any one individual. Different factors associated with immunity, hepatic microenvironment, and AdV inoculum may shift immune responses from being tissue-protective to become tissue destructive. Thus, great caution and further analyses are warranted for in vivo adenoviral studies, especially if systemic vector doses are expected to be close to the observed threshold of toxicity14,15.
Bioeconomic Disquisitions
Regarding the economic impact to establish a priority for subclasses of the market that have a large incidence as tobacco products, alcohol beverages, bars, beauty parlors, fast food restaurants, casinos, etc. they could be economically incident, but what they produce is not beneficial to the people, on the opposite, they are deleterious, dangerous and futile.
Confronting the scarcity of the vaccine and by a variety of qualities, there is going to be a decisional mechanism towards which everybody will disagree, since those who want the vaccine, desire it in spite of the fact that they accept that do not deserve it, even if they are not those who require it the most, even though they are not those who make the most significant benefits to society, even if they do not have any right to obtain it. This constitutes an inescapable conflict despite everybody´s denial of it. The phenomenological reality of the Universe is not subordinated to a doxastic logic or a desiderative logic. Furthermore, the endless conundrum is not conditionally subject to an ochlocratic suffrage5.
Some people, due to genetic causes, are at greater risk of developing a grave clinical picture if they get infected. This published phenomenon ipso facto produces a direct violation of human rights due to discrimination. If this subpopulation gains preference then they are discriminating against those who do not possess the gene and, if it is not given then they are being discriminated punishing them on a genetic basis 16.
If R0 is less than one, the infection will slow to progress and will disappear. The higher the value of R0 the faster will grow. If the studied test has a sensitivity of 99% but a high number of persons are not tested and are considered negative, they are factually false negatives. False negatives are, the facto, all who, being ill, were not reported as healthy in the test, plus those who, being infected, were not tested and are falsely considered as negative5.
At present that more tests are undertaken, the number of positives increases and the reason is double; On one side, patients previously required by some governments, to stay at home, unless they were very ill, are being tested, which is one type of false negatives and, tragically because of the ignorance of Bayes' theorem and the effect of false positives5.
The doxastic illusion for the so-called herd immunity generates a tragical social response against others. The proponents, doxastically believe that if the virus is permitted to spread in a controlled manner, the population is going to reach enough immunity and the pandemic will end.
Exponential and Logistic (Parsimony) Disquisitions
The risk of letting people become infected in a spontaneous manner or even worse, intentionally attempting herd immunity, has the dramatic effect that a high percentage will unavoidably die. This percentage constitutes the fatality rate. Suppose a viral disease that no one has acquired. If R0 = 1 or less and the incubation time is one week, 52 will be infected in one year. If R0 = 2, then in 10 weeks approximately 1,000 will be infected, and, in 20 weeks, approximately 1;000,000 will be infected and in 30 weeks 1,000;000,000 will be infected.
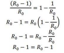
Since to prevent the spread of infection, the proportion of the population that has to achieve immunity (Pi) has to be greater than R0-1 / R0. For example, if R0 = 2, then the immunization requires to reach (2-1) / 2 = 50% of the population; however, if R0 = 5, the proportion to require been immunized is (5-1) / 5 = 80% . Beyond this, if R0 = 10, increases the need to acquire an immunization of (10-1) / 10 = 90%. Measles has a R0 that is greater than 10, it is necessary to immunize practically the entire population.
Therefore, if R0 is 10, a child with measles will infect on average 10 susceptible children. If other children have already been infected, then he will not be able to infect those children who have died or those who are presently infected, or those who have been recovered. When the population's immunity reaches 90% or more, the probability to interact with a susceptible will tend to zero and the population would have reached herd immunity; however course, but with a death toll, which is the fatality rate.
Sensitivity depends on the time between exposition and taking the test.
Analyze the prevalence of positivity in the RT CRP test. A virus might have a high fatality rate, but a very low contagion. alternatively, it can have a low fatality rate but been highly contagious. It is not only transcendent to calculate the probability of a specific outcome. Frequently it is much more relevant to consider the consequence of one outcome or the other. In Russian roulette the chances that the bullet is there is 1/5, which means that the probability of a good outcome is 4/5; which is, 80% probability favorable; notwithstanding, 20% of those who approach the game in this way end up dead. Even worse, those who win the first time will feel they are good prognosticators and will be inclined to play again until the bullet kills them.
Poliomyelitis history constitutes a drama in which we need to distinguish between the case of infection from the sequel. According to the World Health Organization, the vast majority of infections with polio do not produce symptoms, however, 5 to 10 out of 100 infected might have mild flu-like symptoms; but, in 1 out of 200 cases, the virus destroys alpha motor neurons, producing permanent paralysis in the legs or arms. About 30 years ago, poliovirus paralyzed around 1,000 children every day17 .
All have to be aware that vaccines may not be efficient enough and may have unexpected side effects.
By the end of November 2020, there were about 1,500,000 deaths in the world attributable to COVID-19 and 63 million cases18.
It is of utmost importance to be aware that the ignorance of the concept of exponential growth has been considered the most extreme intellectual shortcoming in history 19, 20, 21, 22, 23, 24.
As a “Gedankenexperiment”25, theoretically, the basis of our minimumminimorumapproach would be to directly but not intentionally, but diminishing the expose to the minimum number of respiratory epithelial cells with the minimum number of particles of wild SARS-Cov-2. In this “Gedankenexperiment”, the successful reproduction of the virus will provoke an immunological response. This response is expected to be parsimonious instead of an overwhelming one. In such a way that the immune system could mount an exponential response timely, which evidently will be superior to the exponential replication growth of the virus. Thus we would have acquired not an immunological solution against SARS-CoV-2, and, furthermore agist many other pathogens, like HIV, T. pallidum, etc.
There exist patients who are HIV controllers26. Although nobody knows if those patients are produced by the exposure to a minimumminimoruminoculum, which would be consistent with our presenting hypothesis.
How come could the immunological response of a person infected with 1,000 viral particles, different than that of another infected with only one particle? The answer we maintain belongs to exponential growth 20, 21, 22, 23, 24.
If we conceive a hypothetical virus that, once it is inside the cell, it could be replicated in one 60 minutes, so after an hour we will have 2 viral particles, after 2 hours will have 4 particles, after 3 there will be 8 particles, and so on. If we let it continue for 10 hours, there will be around 1,000 particles, and in 20 hours, 1;000,000 viral particles.
The exponential function corresponding to the antibody production and the exponential function corresponding to T-cell activation would be higher than the exponential function of the viral growth.
In a Gedankenexperiment25 with a healthy subject who gets in contact with an infected patient with coronavirus, in such a manner that when this person becomes infected, it happens not with just one particle, but instead, with 1,000.
If a susceptible gets infected with 1,000 viral particles, these can replicate in one hour, in such a way that then there will be 2,000 viral particles; after 2 hours there will be 4,000 particles; after 3 hours there will be 8,000 particles, and so on. If it continues for 10 hours we will have around 1;000,000 viral particles and in 20 hours, there will be 1,000;000,000 viral particles.
If the exponential growth of the immunological response overwhelms the exponential growth of the virus replication, we would not just have reached immunization, but we would have the solution to this Pandemic and to many that will appear in the near future.
It is an interplay of competence between the two exponential functions. On one side, the exponential reproduction of the virus, and on the other side, the exponential production of antibodies and the activation of T cells response. The objective is to minimize the amount of the inoculum to the minimumminimorumable to infect the minimum susceptible cell subpopulation in the susceptible subpopulation.
The use of masks and transmission are doxastic described as a discrete phenomenon, even more, like Boolean, when in factually it is a continuous one, at least regarding the amount of inoculum. Not two susceptible would receive the same amount of inoculum.
Humoral and Cellular Immunological Disquisitions
In principle, the essential problem is how to deliver the antigen in order to immunize the susceptible subpopulation; which is, to find a mechanism to restrict to the minimum viral inoculum. In the paper by Gandhi and Cols. and in Perspective in NEJM27, they devised the solution to the inoculum and so the viral delivery problem. They have the hypothesis that with the use of masks it is possible to diminish the inoculum and thus produce a more benign clinical picture. they expressed it as variolation11.
Wearing face masks universally could produce the desired effect of minimizing the inoculum and, as we have hypothesized, in consequence, the parsimony effect of the exponential viral growth relative to the exponential growth of the immunological response.
It is a central epidemiological issue to understand that the amount of inoculum decays strictly according to the square of the distance between an infective patient and a susceptible subject. therefore, it is highly pedagogic: Exploring the effect of inoculum amount on host immunity to design model-based vaccine28.
Desiderative Logic and Aspirational Legislation
A recent publication around this matter to be analyzed, contrasting against our hypothesis: The Great Barrington Declaration which results opposed to the present scientific knowledge29.
The principal arguments of the Great Barrington Declaration, all of them false or at least fallacious, and also against human rights are:
To allow those who are at minimal risk of death to live their lives normally to build up immunity to the virus through natural infection, while better protecting those who are at highest risk. While society as a whole enjoys the protection conferred upon the vulnerable by those who have built up herd immunity. On October 4, 2020, Great Barrington, United States.
The John Snow Memorandum30 which we formally endorse was published immediately.
Our conclusive recommended approach would improve the expected effect of a policy that could wrongly be implemented based on doxastic and desiderative logic as is the case of The Great Barrington Declaration.
Beyond the human rights of equality and non-discrimination, there are certain conditions possessed by a very small percentage of the population that constitute assets for society and that the population should egoistically take care of and protect, but not due to it is a human right of those who have these characteristics, but because it is an absolute convenience for society and because the health, education and frequently the life of a large part of the population depend absolutely on the wellbeing of them.
Even if the Great Barrington Declaration is enforced, we would have a Nash equilibrium in the worst of situations31.
It is evident that we are facing two simultaneous pandemics, one occasioned by SARS-Cov- 2 and the other the misinformation2.
Great Barrington's statement doxastically sounds reasonable and apparently satisfies all. Those who decide to expose themselves, those who decide to protect themselves, the market, the rulers. Notwithstanding, it has a subjacent rhetorical core. It is a eulogy of demagoguery. If enforced will provoke a Nash equilibrium with a non-Pareto optimal31.
Doxastic Disquisitions
Since it is usual for policies to be implemented founded on doxastic and desiderative logic, rather than on scientific and legal grounds, we should consider that it is possible that policies derived from the Great Barrington Declaration or on any analogous one could be established with the most devastating consequences, locally and globally. Notwithstanding if it happens, our proposal would necessarily diminish the adverse impact of the consequences.
Teleological Disquisitions and the Evolution of Genes
Viruses and parasites, in general, tend to take over and hijack i.e. abduct the parasitized organisms, allowing the parasites to reproduce successfully and altering the behavior of the host which results in an advantage for the successful reproduction of the parasite32.
It is an extraordinary doxastic and desiderative logic case the fact, that the majority do not believe in evolution. Among those who believe in it, they do not understand it, they doxastically take the Lamarckian position. In the event of the exceptional Darwinian who believes in random variation and selection of the best fit, he is wrong since it is not survival but successful reproduction, as we can learn from the seductive male of the Mantis religiosa and the successful fertilizer of the black widow. The essential concept lies in the selection of the genes: the selfish gene. This constitutes the paradigm of evolution. What is inherited are the genes. What is selected are the genes and not the organisms33.
With the mathematical theory of games as a tool, it is clear that it is disadvantageous for the virus to kill or incapacitate the parasitized subject since this diminishes its possibilities of multiplicative success. It is inappropriate and naïve to consider SARS-Cov-2 as an enemy. With viruses, there is no possible peace agreement31.
Among the fallacies of the Great Barrington Declaration are that those who are exposed become infected and that they will end infecting their putatively protected relatives within their own families; even more, the duration of immunity or its effectiveness is unknown. We consider that those who expose themselves, without face masks on the street, are not very likely to wear face masks within their own homes, or to keep the appropriate distance, etc., in such a way as not to infect their high-risk relatives. The argument from the Great Barrington Declaration that herd immunity will eventually be achieved is clearly fallacious. The herd immunity for influence, HIV, syphilis, malaria, herpes, tuberculosis, and amebiasis has not been reached.
Notwithstanding the Great Barrington Declaration has many clear shortcomings because of the possibility of intrafamilial contagious. Using the argument of protecting the elderly many old persons might end displaced to nursing homes. It seems highly improbable that the working young adult who is economically productive will decide to live in the cellar and so, avoid transmitting the infection to the old members of the family.
Kolmogorov Probability Applied to Genetics
The SARS-CoV-2 virus possesses a single- stranded RNA chain which is the longest -RNA known, this chain has 30,000 nucleotides, In spite of the fact that the great majority of mutations induce a devastating effect on any living organism, the rare mutations that accidentally produces advantage are the fundamental mechanism of the Darwinian selection. The replication of the RNA genome of the SARS Co- 2 virus suffers a very low error rate for each reproductive cycle. It has error-correcting enzymatic machinery.
The argument expressed in Great Barrington's statement relative to the time lost in the presential modality of education is fallacious. I constitute the opportunity to demonstrate that current presential classroom education is a failure and not something that must be maintained. In the quarantine we have discovered that we are to be selective, it is not the moment to maintain the right to choose futile stuff or superficial services. The pandemic of misinformation has potentiated the growth of the SARS-Cov-2 pandemic.
In the graphic, green represents the immune response; red color corresponds to an exponential growth of the virus overwhelming the immune response; Blue corresponds to the viral growth in the case of minimal inoculum; purple color corresponds to the potentiating pathological consequence of the growth of the virus catapulted by the effect of misinformation which increases the bizarre behavior34.
Black: Viral growth beginning with 1,000 particles of inoculum Orange: Immunological response
Green: Viral growth beginning with 1 particle minimumminimoruminoculum
It is physically unquestionable that If two people have face masks, the probability of contagion is the product of the independent probabilities. If the efficiency of the mask is: 1/n
When two interlocutors are wearing a mask the protector effect if one is contagious is: (1/n)2
The inoculum decays with the square of the distance between the infective and the susceptible.
With the use of face masks, if an infective person interacts with a susceptible person, the probability of becoming infected as well as the amount of inoculum decreases, as it is the product of the independent probabilities of the protection that each face mask confers.
The probability of contagion increases linearly with the time of exposure.
We hypothesize that since children spend more time at a large distance from their peers, they stayed less time in close contact with each other, they spent more time outdoors, and probably, due to those causes, the infected children acquire the infection with smaller inoculum than adults. This would be compatible with our hypothesis that with less inoculum, we are to expect more subclinical cases and lesser clinical manifestations with the consequent lesser mortality.
We must keep in mind that the cost to obtain herd immunity is determined by lethality.
Manifestation Corollary
We have epistemologically and consequently, epistemocratically approached all the concepts, within the frame of Bertalanffy’s General Theory of Systems35, according to the Mill´s methods, restricted to Popperian refutations36, as subsets of Kolmogorov and Maxwell-Boltzmann distributions. Doxastic and desiderative logics are the essence of most of the behavioral problems of the SARS-CoV-2 pandemic 37, 38, 39.
As scientists and educators, we should apologize to the victims of doxastic and desiderative logic, who have chosen the ochlocratic avenue, whom we have not been able to elentically and epistemocratically rescue yet.
References
- 1.Wahl Angela, Lisa E Gralinski, Claire E Johnson, Yao Wenbo, Kovarova Martina. (2021) SARS-CoV-2 infection is effectively treated and prevented by EIDD-2801. , Nature
- 5.P J Lamothe. (2007) Reforma de los Estados Democráticos y de los Oclócratas. México: Primer Mandante Epistemócrata de los Estados Unidos Mexicanos.
- 7.Bayes Mr, Mr Price. (1763) An Essay towards Solving a Problem in the Doctrine of Chances. By the Late Rev. , A. M. F. R. S . Philosophical Transactions of the Royal Society of London 53, 370-418.
- 8.Mark D B y Wong, L J B en Jameson J, A S Fauci, D L Kasper, S L Hauser et al. (2020) . Harrison’s Principles of Internal Medicine. 19a Ed.USA:McGraw-Hill Education .
- 9.Billingsley Patrick. (1995) third edition, Probability and measure: A Wiley-Interscience Publication. , New York • Chichester • Brisbane • Toronto • Singapore
- 10.Kermack W O McKendrick, G A.A contribution to the mathematical theory of epidemics. The Roya Society.1927.
- 11.M Rutherford Gandhi, W G. (2020) 2020.Facial Masking for Covid-19 — Potential for “Variolation” as We Await a Vaccine. , N Engl J Med
- 13.Lamothe P J. (1998) Epistemocracia: Primer tratado general de ingeniería política. 2a Ed. , México: Edamex;
- 14.Maria T Vlachaki, Hernandez-Garcia Andres, Ittmann Michael, Chhikara Madhu, Laura K Aguilar. (2002) Impact of Preimmunization on Adenoviral Vector Expression and Toxicity in a Subcutaneous Mouse Cancer Model. , MOLECULAR THERAPY 6(3).
- 15.ANDRÉS HERNÁNDEZ GARCÍA, MARÍA T VLACHAKI, ITTMANN MICHAEL, SALDAÑA HUGO A BARRERA. (2003) . , ESTUARDO AGUILAR CÓRDOVA. EFECTO DE LA PREINMUNIZACIÓN SOBRE LA EFICACIA TERAPÉUTICA Y TOXICIDAD DE LA TERAPIA GÉNICA ANTITUMORAL. CIENCIA UANL. VI 4.
- 16.Franke A.. The Severe Covid-19 GWAS Group. Genomewide Association Study of Severe Covid-19 with Respiratory Failure. 2020. New England Journal of Medicine: https://www.nejm.org/doi/full/10.1056/NEJMoa2020283#:~:text=Our%20genetic%20data%20confirm%20that,than%20non%2DA%20blood%20groups .
- 18.Coronavirus Resource Center. Johns Hopkins University & Medicine.https://coronavirus.jhu.edu/map.html (2020) . by
- 19.Bartlett A A.Exponential Growth Arithmetic, Population and Energy:. https://www.youtube.com/watch?v=kZA9Hnp3aV4&t=214s
- 20.N Lamothe Lamothe, M 2020 COVID-19.El Presidente Tiene que Enseñarle a los Mexicanos a Contar con los Dedos. Principia Pedagógica Eléntica Heurística: https://www.youtube.com/watch?v=8dqViAXO8uc.
- 21.N Lamothe Lamothe, M.. 2020.Modelo Crecimiento Exponencial Población. Introducción. Principia Pedagógica Eléntica Heurística: https://www.youtube.com/watch?v=VBjm-B0iUgM .
- 22.N Lamothe Lamothe, M. (2020) Ecuación Logística. Crecimiento Poblacional. Principia Pedagógica Eléntica Heurística:. https://www.youtube.com/watch?v=S9Qq7FedUiU
- 23.N Lamothe Lamothe, M.2020.Ecuación Logística . Límite cuando el tiempo tiende a infinito. Crecimiento Población. Principia Pedagógica Eléntica Heurística:. https://www.youtube.com/watch?v=WUW6iXwMurM
- 24.N Lamothe Lamothe, M. (2020) Para Entender la Pandemia del COVID-19 Hay que Estar Preparados. Ecuación Logística. Principia Pedagógica Eléntica Heurística:. https://www.youtube.com/watch?v=fkzkMV1C3QA
- 25.Perkowitz Sidney. (2010) . Gedankenexperiment. Encyclopædia Britannica: https://www.britannica.com/science/Gedankenexperiment
- 26.N Saez-Cirion, O A Avettand-Fenoël V Boufassa F Lambotte. (2019) controllers: to treat or not to treat? Is that the right question? Vol 6. , ISSUE 12, 2352-3018.
- 27.Gandhi M, Beyrer C, Goosby E. (2020) Masks Do More Than Protect Others During COVID-19: Reducing the Inoculum of SARS-CoV-2 to Protect the Wearer. , J GEN INTERN MED 35, 3063-3066.
- 28.Handel A. (2018) Exploring the impact of inoculum dose on host immunity and morbidity to inform model-based vaccine design. National Center of Biotechnology Information:. https://www.ncbi.nlm.nih.gov/pmc/articles/PMC6181424/
- 29.M Kavaliunas Kulldorff, Bhattacharya A, Y. (2020) The Great Barrington Declaration: https://gbdeclaration.org/.
- 31.John Forbes Nash. (1950) The Bargaining Problem". , Econometrica. Econometric Society 18(2), 155-62.
- 34.S Asadi Barreda, Cappa S, C D Wexler, A S Bouvier, M N.. The Impact of Vocalization Loudness on COVID-19 Transmission in Indoor Spaces: https://arxiv.org/pdf/2009.04060.pdf .
- 35.von Bertalanffy 2015.General System Theory: Foundations, Development, Applications. George Braziller Inc.
Cited by (1)
This article has been cited by 1 scholarly work according to:
Citing Articles:
Journal of Clinical Case Studies (2021) OpenAlex








